Tuần học này giúp sinh viên lần đầu chạm tay vào bản chất của phép biến thiên – tiền đề cho cả giải tích vi phân, giải phương trình vi phân và học máy hiện đại.

1. Giới thiệu – Einführung

VI – Tiếng Việt:
Đạo hàm không chỉ là một công cụ tính toán – nó là “ngôn ngữ của sự thay đổi”. Từ vật lý, kinh tế đến khoa học dữ liệu, đạo hàm giúp ta đo tốc độ, xu hướng và tối ưu hóa. Tuần học này giúp sinh viên lần đầu chạm tay vào bản chất của phép biến thiên – tiền đề cho cả giải tích vi phân, giải phương trình vi phân và học máy hiện đại.

DE – Tiếng Đức:
Die Ableitung ist mehr als ein Rechenwerkzeug – sie ist die Sprache der Veränderung. Ob in der Physik, Ökonomie oder Data Science – Ableitungen messen Geschwindigkeit, Trends und helfen bei der Optimierung. Diese Woche bringt die Studierenden zum ersten Mal mit dem Kernkonzept der Änderungsrate in Berührung – dem Fundament für Differentialrechnung, Optimierung und moderne Algorithmen.

 

2. Khái niệm – Begriffserklärung

 2.1. Định nghĩa đạo hàm tại một điểm – Ableitung an einem Punkt

VI:

Giá trị này biểu diễn tốc độ thay đổi tức thời của hàm tại điểm đó.


DE:

Dieser Wert beschreibt die momentane Änderungsrate.

 

 2.2. Đạo hàm là gì về mặt hình học?

VI:
Đạo hàm chính là hệ số góc của tiếp tuyến tại một điểm trên đồ thị hàm số.

DE:
Die Ableitung ist geometrisch die Steigung der Tangente am Funktionsgraph an einer bestimmten Stelle.

 

 2.3. Notations thường gặp – Übliche Notationen

 

3. Ý nghĩa và ứng dụng – Bedeutung und Anwendungen

  • Giải thích tốc độ, gia tốc, tối ưu hóa, mức tăng lợi nhuận biên...

  • Là nền tảng của giải tích, phương trình vi phân, thống kê hiện đại.

  • Trong AI & Machine Learning: đạo hàm giúp điều chỉnh trọng số mô hình qua Gradient Descent.

Beispiele aus Anwendungen – Ứng dụng cụ thể:

  • Vật lý: Đạo hàm của vị trí theo thời gian là vận tốc

  • Kinh tế: Đạo hàm của chi phí là chi phí biên

  • Tin học: Đạo hàm là công cụ quan trọng trong training mạng neuron

 

4. Ví dụ cụ thể có giải thích – Konkrete Beispiele mit Erklärung

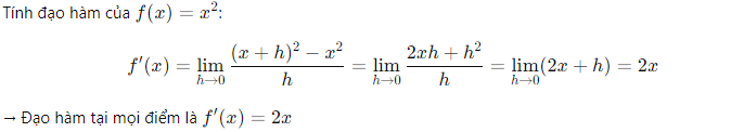
Ví dụ 1 – Đạo hàm hàm bậc hai / Ableitung einer quadratischen Funktion

VI:


DE:

 

Ví dụ 2 – Tốc độ tăng của hàm mũ / Wachstum bei Exponentialfunktion

VI:

 

DE:
 

 

Ví dụ 3 – Không khả vi tại điểm gấp khúc / Nicht differenzierbar an einer Ecke

VI:

→ Không tồn tại đạo hàm tại x=0x = 0x=0

 

DE:
f (x) = ∣x∣ :
Linksseitiger Grenzwert = –1, Rechtsseitiger = 1 → nicht differenzierbar bei x = 0

 

5. Khó khăn thường gặp – Typische Schwierigkeiten

 Đối với giảng viên:

Vấn đề

Cách giảng dạy hiệu quả

Sinh viên thuộc công thức nhưng không hiểu định nghĩa 

Giảng từ giới hạn trước, sau đó mới đến công thức quy tắc

Tư duy hình học yếu

Vẽ tiếp tuyến động trên graph, sử dụng phần mềm mô phỏng

Khó kết nối ứng dụng thực tế

Liên hệ đạo hàm với các ngành: vật lý, kinh tế, khoa học máy tính 

 

 Đối với sinh viên:

Khó khăn

Cách học hiệu quả

Quá phụ thuộc vào công thức đạo hàm 

Luyện tính đạo hàm bằng định nghĩa giới hạn trong vài bài đầu 

Không hiểu bản chất “tốc độ thay đổi”

Áp dụng vào bài toán thực tế: tốc độ, chi phí, tăng trưởng

Nhầm lẫn giữa khả vi và liên tục

Ghi nhớ: khả vi ⇒ liên tục, nhưng ngược lại không đúng

 

6. Kết luận – Zusammenfassung 

VI – Tiếng Việt:
Đạo hàm là một bước ngoặt tư duy trong hành trình học toán đại học. Từ những định nghĩa ban đầu tưởng chừng hình thức, sinh viên dần tiếp cận được với tư duy toán ứng dụng, nơi mọi thay đổi đều có thể được đo lường, tối ưu, dự đoán. Trong thời đại số và học thuật hiện đại, hiểu và vận dụng được đạo hàm là kỹ năng cốt lõi để thành công ở mọi lĩnh vực – từ kỹ thuật, kinh tế, đến AI.

 

DE – Tiếng Đức:
Die Ableitung ist ein Wendepunkt im Denken der Studierenden. Von einer formalen Definition führt sie direkt zu einem anwendungsorientierten Weltbild – alles Messbare kann abgeleitet, optimiert, vorhergesagt werden. In einer datengetriebenen Welt ist das Verständnis von Ableitung eine Schlüsselkompetenz für den Erfolg in Technik, Wirtschaft und Künstlicher Intelligenz.

 

facingX – Chúng tôi đồng hành cùng bạn từ những bước cơ bản nhất – để bạn có thể vững vàng tiến xa trong hành trình du học, học tập và phát triển nghề nghiệp toàn cầu.

 


Nền Tảng Kết Nối Giảng Dạy - Hồ Sơ Du Học
Ngoại ngữ, toán tư duy, lập trình, chuyên ngành năm nhất đại học
© 2025 facingX
Có thể bạn quan tâm