Đạo hàm bậc cao – những công cụ mạnh mẽ giúp mô tả sự thay đổi của chính sự thay đổi. Đây cũng là bước quan trọng để chuẩn bị cho việc học các định lý lớn như Taylor và phép xấp xỉ số.

1. Giới thiệu – Einführung

VI – Tiếng Việt:
Sau khi đã hiểu khái niệm đạo hàm cơ bản, sinh viên tiếp tục tiếp cận với đạo hàm bậc cao – những công cụ mạnh mẽ giúp mô tả sự thay đổi của chính sự thay đổi. Đạo hàm bậc hai cho biết sự tăng tốc hay độ cong của đồ thị; đạo hàm bậc ba, bậc bốn giúp phân tích sâu hơn về hình dạng và hành vi của hàm số. Đây cũng là bước quan trọng để chuẩn bị cho việc học các định lý lớn như Taylor và phép xấp xỉ số.

DE – Tiếng Đức:
Nach dem Verständnis der Grundableitung befasst sich diese Woche mit höheren Ableitungen – Werkzeugen, die die Veränderung der Veränderung analysieren. Die zweite Ableitung beschreibt etwa Beschleunigung oder Krümmung, höhere Ableitungen zeigen komplexere Strukturen des Funktionsverlaufs. Dies ist auch die Grundlage für wichtige Konzepte wie die Taylor-Entwicklung und numerische Verfahren.

 

2. Các khái niệm trọng tâm – Zentrale Begriffe

 2.1. Đạo hàm bậc cao – Höhere Ableitungen

VI:
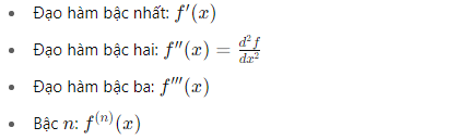
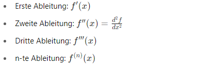
Nếu hàm f khả vi nhiều lần, ta định nghĩa:

DE:

Wenn f mehrfach differenzierbar ist, definieren wir:

 

 2.2. Ý nghĩa hình học – Geometrische Bedeutung

Đạo hàm

Ý nghĩa (VI)

Bedeutung (DE)

f′

Tốc độ thay đổi – hệ số góc tiếp tuyến 

Änderungsrate – Tangentensteigung

f′′

Độ cong, kiểm tra cực trị, điểm uốn

Krümmung, Extremstellenprüfung, Wendepunkte 

f^(n)

Mô tả chi tiết biến thiên

Feinere Funktionsanalyse

 

 2.3. Điểm cực trị – Extrempunkte

VI:

 

DE:

 

3. Vai trò và ứng dụng – Bedeutung und Anwendungen

  • Xác định hình dạng đồ thị, cực trị, điểm uốn

  • Tính toán chuyển động trong vật lý (gia tốc là đạo hàm bậc hai của vị trí)

  • Cơ sở cho Khai triển Taylor – mô hình hoá hàm phức tạp bằng đa thức

  • Phân tích sóng, tín hiệu, dao động (đạo hàm bậc cao thể hiện độ mượt và biến động)

 

4. Ví dụ cụ thể có giải thích – Konkrete Beispiele mit Erklärung

Ví dụ 1 – Đạo hàm bậc 2 của hàm đa thức

VI:

                             Kiểm tra f′′ (x)  đổi dấu tại đó → đồ thị đổi chiều cong

 

DE:
 


Krümmung wechselt das Vorzeichen → Richtungswechsel der Graphkrümmung

 

Ví dụ 2 – Phân tích cực trị với đạo hàm bậc hai

VI:
 

 

DE:

 

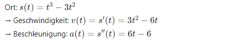
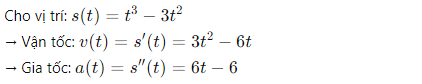
Ví dụ 3 – Ý nghĩa vật lý: vị trí – vận tốc – gia tốc

VI:
 

 

DE:
 

 

5. Khó khăn thường gặp – Typische Schwierigkeiten

 Giảng viên nên lưu ý:

Thách thức

Gợi ý xử lý

Sinh viên mất động lực vì đạo hàm bậc cao “khô khan” 

Gắn với ứng dụng thực tế: vật lý, tối ưu hoá, AI

Khó nhớ quy tắc đạo hàm lặp lại

Tập luyện bằng hàm đa thức, sau đó nâng cấp dần

Giới thiệu Taylor quá sớm

Chỉ nhấn mạnh tầm quan trọng – chi tiết để tuần sau 

 

Sinh viên thường gặp khó:

Vấn đề

Cách học hiệu quả

Lẫn lộn giữa đạo hàm và bậc đạo hàm 

Làm bảng so sánh cụ thể từng cấp độ

Không biết khi nào dừng đạo hàm

Gắn mục tiêu học rõ ràng: cực trị → đến bậc hai là đủ

Không thấy được ý nghĩa hình học

Sử dụng GeoGebra hoặc video minh họa tiếp tuyến & độ cong 

 

6. Kết luận – Zusammenfassung 

VI – Tiếng Việt:
Đạo hàm bậc cao không chỉ là sự tiếp nối của kiến thức cũ – mà là một công cụ tư duy sắc bén để khám phá hành vi sâu hơn của hàm số. Khi bạn hiểu được đạo hàm không chỉ tính mà còn giải thích – dự đoán – tối ưu, bạn đã thật sự “học được Giải tích”. facingX giúp bạn hiểu bản chất, không học vẹt – để sẵn sàng áp dụng kiến thức vào bất kỳ ngành học nào bạn chọn tại Đức và toàn cầu.

 

DE – Tiếng Đức:
Höhere Ableitungen sind mehr als nur technische Erweiterungen – sie eröffnen eine tiefere Analyse von Funktionen und deren Verhalten. Wer versteht, dass Ableitungen nicht nur rechnen, sondern auch erklären, vorhersagen und optimieren können, beherrscht das Denken der modernen Mathematik. facingX begleitet Dich auf diesem Weg – verständlich, praxisnah, international.

 

facingX – Nền tảng kết nối giảng dạy – Hồ sơ du học – Ngoại ngữ – Toán tư duy – Lập trình – Chuyên ngành năm nhất đại học. Cùng xây dựng nền tảng tư duy đại học vững chắc – để bạn không chỉ học để thi, mà học để làm chủ tương lai.

 


Nền Tảng Kết Nối Giảng Dạy - Hồ Sơ Du Học
Ngoại ngữ, toán tư duy, lập trình, chuyên ngành năm nhất đại học
© 2025 facingX
Có thể bạn quan tâm