Sau khi hiểu rõ khái niệm và cách tính tích phân xác định, sinh viên sẽ bước vào giai đoạn hấp dẫn nhất của giải tích: ứng dụng tích phân vào thực tế

1. Giới thiệu – Einführung

VI – Tiếng Việt:
Sau khi hiểu rõ khái niệm và cách tính tích phân xác định, sinh viên sẽ bước vào giai đoạn hấp dẫn nhất của giải tích: ứng dụng tích phân vào thực tế. Không còn là những bài toán hình học trừu tượng, tích phân giờ đây trở thành công cụ giải quyết các vấn đề thực tế như: tính diện tích hình phức tạp, thể tích vật thể, khối lượng, công cơ học, chi phí tích lũy hoặc xác suất.

 

DE – Tiếng Đức:
Nach dem Verständnis des bestimmten Integrals beginnt der spannendste Teil der Analysis: die praktische Anwendung. Das Integral wird nun ein Werkzeug zur Lösung realer Probleme – von Flächen- und Volumenberechnungen über Masse und Arbeit bis hin zu Wahrscheinlichkeiten und ökonomischen Modellen.

 

2. Các ứng dụng chính – Zentrale Anwendungen

 

 

3. Ý nghĩa và vai trò – Bedeutung und Rolle

VI:
Tích phân không còn là phép toán đơn thuần, mà là công cụ mô tả thế giới vật lý và xã hội:

  • Trong vật lý: tính công, lực, quãng đường, khối lượng

  • Trong kinh tế: tính tổng chi phí, tổng doanh thu, tích lũy đầu tư

  • Trong xác suất: xác định xác suất từ hàm mật độ

  • Trong kỹ thuật: mô phỏng dòng chảy, điện tích, nhiệt lượng

 

DE:
Das Integral wird zu einem universellen Werkzeug in Physik, Wirtschaft und Technik:

  • In der Physik: Arbeit, Kraft, Strecke, Masse

  • In der Ökonomie: Gesamtkosten, Erlös, Kapitalakkumulation

  • In der Statistik: Wahrscheinlichkeiten aus Dichtefunktionen

  • In der Technik: Strom, Wärme, Volumenströme

 

4. Giảng viên & Sinh viên cần chú ý – Hinweise für Lehrende & Lernende

 Giảng viên:

Thách thức

Gợi ý phương pháp

Sinh viên học tích phân như công thức 

Bắt đầu bằng tình huống thực tế, ví dụ vật lý – kinh tế

Thiếu minh hoạ trực quan

Dùng mô hình 3D, đồ thị quay vật thể, video mô phỏng 

Dạy quá hàn lâm, thiếu liên hệ

Nối từng dạng toán với bài toán thực tế tương ứng

 

 Sinh viên:

Khó khăn

Cách học hiệu quả

Không hình dung được ý nghĩa công thức 

Vẽ hình, tưởng tượng dòng chảy, quay tròn, tích lũy

Không biết chọn đúng công thức

Tạo bảng hệ thống bài toán – công thức ứng với từng loại 

Nhầm lẫn giữa diện tích và thể tích

Luôn xác định trước dạng bài: 2D (diện tích), 3D (thể tích) 

 

5. Ví dụ cụ thể – Konkrete Beispiele mit Erklärung

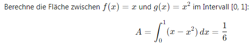
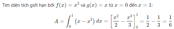
Ví dụ 1 – Diện tích giữa hai đường cong

VI:

 

DE:

 

Ví dụ 2 – Thể tích vật thể tròn xoay

VI:

 

DE:

 

6. Kết luận – Zusammenfassung 

VI – Tiếng Việt:
Ứng dụng tích phân không chỉ là phần hấp dẫn nhất của Giải tích, mà còn là bằng chứng rõ ràng về sức mạnh của toán học trong đời sống thực. Từ việc mô phỏng chuyển động, tính thể tích vật thể, đến việc lập kế hoạch chi phí, tính công suất tiêu thụ hay xác suất rủi ro – tất cả đều gắn với tích phân.

 

DE – Tiếng Đức:
Die Anwendungen des Integrals zeigen eindrucksvoll, wie Mathematik reale Probleme löst – sei es in Physik, Technik, Wirtschaft oder Statistik

 

Tại facingX, chúng tôi không chỉ giúp sinh viên hiểu công thức – mà giúp các bạn ứng dụng được vào môi trường học thuật và cuộc sống. Nền tảng của chúng tôi hỗ trợ toàn diện:

  • Tư vấn du học các nước EU, Đức, Nhật, Úc, Canada

  • Dạy ngoại ngữ học thuật, kết nối chương trình toán và lập trình

  • Đào tạo Toán tư duy – nền tảng để học mọi chuyên ngành hiện đại

  • Kết nối giảng dạy trực tuyến giữa giảng viên giàu kinh nghiệm và du học sinh

.


Nền Tảng Kết Nối Giảng Dạy - Hồ Sơ Du Học
Ngoại ngữ, toán tư duy, lập trình, chuyên ngành năm nhất đại học
© 2025 facingX
Có thể bạn quan tâm