Việc hiểu đúng bản chất tích phân là nền tảng để thành công trong các ngành kỹ thuật, công nghệ, kinh tế và khoa học dữ liệu hiện đại.

1. Giới thiệu – Einführung

VI – Tiếng Việt:
Từ nguyên hàm – biểu thức chung của mọi hàm đạo hàm – ta tiến đến một công cụ mạnh mẽ hơn: tích phân xác định. Đây là phương pháp giúp chúng ta tính diện tích, khối lượng, công, xác suất và nhiều đại lượng vật lý khác. Tích phân xác định là một phần cốt lõi của giải tích và có ứng dụng sâu rộng trong kỹ thuật, kinh tế và khoa học dữ liệu.

 

DE – Tiếng Đức:
Ausgehend von der Stammfunktion lernen wir nun das bestimmte Integral kennen – ein mächtiges Werkzeug zur Berechnung von Flächeninhalten, Volumen, Arbeit, Wahrscheinlichkeiten und mehr. Das bestimmte Integral ist ein zentrales Konzept der Analysis mit zahlreichen Anwendungen in Technik, Wirtschaft und Datenanalyse.

 

2. Khái niệm – Definition

VI:

 

DE:

 

 3. Ý nghĩa & Vai trò – Bedeutung und Rolle

 

4. Những điều cần lưu ý – Wichtige Hinweise

Giảng viên:

Lưu ý

Gợi ý giảng dạy

Sinh viên dễ nhầm với nguyên hàm 

Làm rõ “tích phân có giới hạn” và tính ra số cụ thể

Bỏ qua ý nghĩa hình học

Dạy kèm theo hình minh hoạ: diện tích, thể tích

Học máy móc công thức

Dẫn dắt từ định lý cơ bản giải tích → công thức tổng quát 

 

 Sinh viên:

 

 

 5. Ví dụ cụ thể – Konkrete Beispiele mit Erklärung

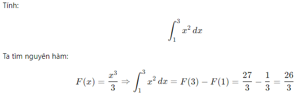
Ví dụ 1 – Tính diện tích dưới đường cong đơn giản

VI:
Tính:

 

 

DE:

 

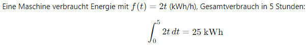
Ví dụ 2 – Tính tổng lượng tiêu thụ từ tốc độ tiêu thụ

VI:

 

DE:

 

 6. Kết luận – Zusammenfassung 

VI – Tiếng Việt:
Tích phân xác định là cầu nối giữa hình học và đại số, giữa lý thuyết và ứng dụng thực tiễn. Đây không chỉ là công cụ tính diện tích hay thể tích – mà là một phương pháp tổng hoá liên tục, giúp chúng ta phân tích dữ liệu, tính toán vật lý, lập mô hình tài chính, và dự đoán hành vi. Việc hiểu đúng bản chất tích phân là nền tảng để thành công trong các ngành kỹ thuật, công nghệ, kinh tế và khoa học dữ liệu hiện đại.

 

DE – Tiếng Đức:
Das bestimmte Integral verbindet Geometrie mit Algebra, Theorie mit Praxis. Es ist mehr als eine Rechenregel – es ist ein kontinuierliches Summenmodell, das in Physik, Wirtschaft, Technik und Data Science Anwendung findet.

 

facingX tự hào là đơn vị tiên phong hỗ trợ sinh viên – đặc biệt là du học sinh năm nhất – xây nền kiến thức vững chắc từ những môn học cốt lõi như Giải tích. Không chỉ có giảng dạy chuyên sâu, nền tảng của chúng tôi còn cung cấp:

  • Tư vấn du học chuyên nghiệp tại Đức, Nhật, Úc, Canada, các nước EU

  • Khóa ngoại ngữ học thuật giúp sinh viên sẵn sàng hòa nhập đại học quốc tế

  • Chương trình Toán tư duy – Toán đại học nền tảng

  • Kết nối học viên với giảng viên online từ mọi nơi trên thế giới

 

 


Nền Tảng Kết Nối Giảng Dạy - Hồ Sơ Du Học
Ngoại ngữ, toán tư duy, lập trình, chuyên ngành năm nhất đại học
© 2025 facingX
Có thể bạn quan tâm