Tuần cuối cùng của khóa học Giải tích 1 không nhằm dạy thêm kiến thức mới, mà là cơ hội để hệ thống, củng cố và luyện tập tư duy giải bài thi.

1. Giới thiệu – Einführung

VI – Tiếng Việt:
Tuần cuối cùng của khóa học Giải tích 1 không nhằm dạy thêm kiến thức mới, mà là cơ hội để hệ thống, củng cố và luyện tập tư duy giải bài thi. Sinh viên cần được hướng dẫn phân loại dạng bài, chiến lược làm bài, quản lý thời gian và tránh lỗi thường gặp. Việc luyện thi không chỉ giúp đạt điểm cao mà còn củng cố tư duy toán học có hệ thống – điều đặc biệt quan trọng trong môi trường đại học Đức.

 

DE – Tiếng Đức:
Die letzte Woche des Kurses Analysis 1 dient nicht der Einführung neuer Inhalte, sondern der systematischen Wiederholung, Festigung und gezielten Prüfungsvorbereitung. Studierende sollen lernen, Aufgabentypen zu erkennen, Strategien zur Bearbeitung zu entwickeln, Zeit zu managen und typische Fehler zu vermeiden. Das Klausurtraining hilft nicht nur für eine gute Note, sondern fördert auch das mathematische Denken im Studium.

 

 2. Mục tiêu chính – Hauptziele

  • Hệ thống hóa toàn bộ kiến thức Giải tích 1
    (Systematische Zusammenfassung des gesamten Stoffs)

  • Phân loại bài thi theo chương: đạo hàm, giới hạn, tích phân…
    (Aufgabentypen nach Themen: Ableitung, Grenzwert, Integral…)

  • Giải đề mẫu và đề thi thật các năm trước
    (Bearbeitung echter Klausuraufgaben aus Vorjahren)

  • Rèn luyện kỹ năng làm bài nhanh, đúng, tránh sai sót
    (Trainieren von Genauigkeit & Schnelligkeit unter Zeitdruck)

 

 3. Nội dung trọng tâm – Lerninhalt dieser Woche

1. Tổng ôn theo chủ đề – Thematische Wiederholung

  • Các công thức giới hạn và đạo hàm quan trọng

  • Các định lý lớn: trung bình, đạo hàm hàm hợp, tích phân cơ bản

  • Nhận diện dạng hàm thường gặp và cách xử lý nhanh

 

2. Luyện đề từng bước – Klausur Schritt-für-Schritt

  • Tập làm các đề chia nhỏ thành từng phần

  • Chú trọng cách trình bày, đánh điểm

  • Phân tích đáp án mẫu & phương pháp tiếp cận bài

 

3. Thi thử có giới hạn thời gian – Probeklausur

  • Tổ chức làm bài thi thử nghiêm túc trong 90 phút

  • Tự chấm điểm và rút kinh nghiệm sai sót

  • Lập checklist lỗi thường gặp cá nhân

 

4. Giảng viên & Sinh viên cần chú ý – Hinweise für Lehrende & Lernende

- Giảng viên:

Khía cạnh

Hướng dẫn cụ thể

Đừng dạy thêm nội dung mới

Tập trung hướng dẫn chiến lược giải đề, không nhồi nhét 

Giữ nhịp học nhẹ nhàng

Tạo không khí ôn tập như hỗ trợ – không áp lực

Giúp sinh viên hệ thống hóa kiến thức 

Tổ chức bảng tổng hợp công thức, sơ đồ tư duy

 

- Sinh viên:

Khó khăn thường gặp

Cách khắc phục

Học vẹt, ôn lệch kiến thức

Dùng sơ đồ tư duy toàn chương trình để bao phủ đều

Không luyện kỹ năng trình bày 

Tập viết từng bước rõ ràng, logic, đúng cách chấm điểm 

Áp lực tâm lý trước kỳ thi

Thi thử như thật 1-2 lần để quen áp lực thời gian

 

5. Ví dụ hoạt động – Beispielhafte Trainingsformate

Hoạt động 1 – Tổng hợp kiến thức theo bảng

 

Hoạt động 2 – Ví dụ cụ thể 

Ví dụ 1 – Diện tích giữa hai đường cong 

VI – Tiếng Việt:

 

 

DE – Tiếng Đức:

 

Ví dụ 2 – Thể tích vật thể tròn xoay

VI – Tiếng Việt:

 

DE – Tiếng Đức:

 

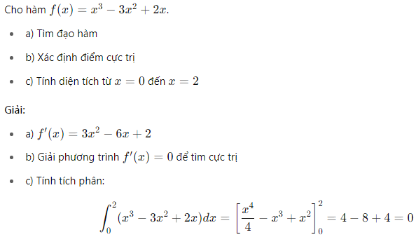
Ví dụ 3 – Bài tập tổng hợp ôn thi

VI – Tiếng Việt:

 

DE – Tiếng Đức:

 

 6. Kết luận – Zusammenfassung 

VI – Tiếng Việt:
Tuần 12 là bước chuẩn bị quyết định cho kỳ thi – nhưng trên hết, đây là cơ hội để sinh viên củng cố sự tự tin và hệ thống hóa toàn bộ kiến thức đã học. Học không chỉ để thi, mà còn để có nền tảng vững chắc bước vào các môn học chuyên ngành sau này.

 

DE – Tiếng Đức:
Woche 12 ist nicht nur die letzte Woche des Kurses, sondern auch der Moment, in dem Selbstvertrauen aufgebaut und Wissen gefestigt wird. Man lernt nicht nur für die Klausur, sondern für den weiteren Studienweg.

 

Tại facingX, chúng tôi không chỉ giúp sinh viên học tốt, mà còn đồng hành trọn vẹn trên hành trình du học:

  • Tư vấn du học chuyên sâu tại Đức, Nhật, Úc, Canada và các nước EU

  • Khóa học ngoại ngữ học thuật, luyện thi đầu vào, thi TestAS, thi tiếng

  • Toán tư duy và lập trình nền tảng cho sinh viên năm nhất

  • Hệ thống kết nối giảng viên – học viên toàn cầu qua mô hình lớp học online cá nhân hóa

facingX – Cùng bạn vững vàng vượt qua kỳ thi – và sẵn sàng cho hành trình học tập toàn cầu!

 


Nền Tảng Kết Nối Giảng Dạy - Hồ Sơ Du Học
Ngoại ngữ, toán tư duy, lập trình, chuyên ngành năm nhất đại học
© 2025 facingX
Có thể bạn quan tâm