Trong các ngành STEM, ma trận là công cụ tổ chức, biểu diễn và tính toán. Từ mô hình mạng nơ-ron trong AI, mô phỏng vật lý trong kỹ thuật, đến mô hình tài chính định lượng

Ma trận và các phép toán ma trận – Cấu trúc tổ chức của không gian dữ liệu

1. Mô tả tổng quan

Ma trận là một trong những khái niệm trung tâm và sống còn trong Đại số tuyến tính. Nếu bạn từng làm việc với bảng tính Excel, hình ảnh kỹ thuật số, hoặc dữ liệu từ cảm biến IoT, thì bạn đã vô thức tiếp xúc với ma trận.

Trong các ngành STEM, ma trận là công cụ tổ chức, biểu diễn và tính toán. Từ mô hình mạng nơ-ron trong AI, mô phỏng vật lý trong kỹ thuật, đến mô hình tài chính định lượng – ma trận là ngôn ngữ chung để xử lý hệ thống nhiều biến một cách hiệu quả và chính xác.

 

 

2. Khái niệm và nội dung chính cần nắm

Ma trận là gì?

Ma trận là một bảng gồm các số (gọi là phần tử) được sắp xếp theo hàng và cột.
Ví dụ:

→ Đây là ma trận có 2 hàng, 3 cột (kích thước: 2×3).

Mỗi phần tử trong ma trận ký hiệu là aij với i là chỉ số hàng và j là chỉ số cột.

Các phép toán ma trận cơ bản

  1. Cộng và trừ ma trận
    Hai ma trận cùng kích thước có thể được cộng hoặc trừ từng phần tử tương ứng:

  2. Nhân ma trận với số vô hướng (scalar)
    Nhân tất cả phần tử với cùng một số:

  3. Nhân hai ma trận
    Đây là phần quan trọng nhất và thường gây nhầm lẫn:

    • Am×n×Bn×p=Cm×p

    • Mỗi phần tử cij là tổng các tích giữa hàng thứ i của A và cột thứ j của B.

  4. Chuyển vị ma trận (Transpose)
    Đổi hàng thành cột và ngược lại:

  5. Ma trận đơn vị (Identity Matrix)
    Giống như số 1 trong phép nhân: A⋅I=A

  6. Ma trận nghịch đảo (Inverse Matrix)
    Giống như số nghịch đảo trong số học:

    (chỉ tồn tại nếu A không suy biếnvuông)

 

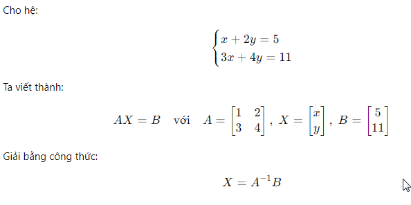
3. Ví dụ ứng dụng cụ thể

Giải hệ phương trình tuyến tính bằng ma trận

→ Cách giải này cực kỳ phổ biến trong lập trình khoa học, mô hình hoá và mô phỏng số.

 

4. Những khó khăn học viên thường gặp

  1. Không hiểu bản chất phép nhân ma trận
    → Nhầm giữa nhân từng phần tử với nhân ma trận (phép nhân ma trận không “giống như bình thường”).

  2. Khó hình dung khi làm việc với ma trận lớn (trên 3×3)
    → Dễ bị rối khi làm tay, thiếu công cụ hỗ trợ trực quan.

  3. Nhầm lẫn về kích thước khi nhân ma trận
    → Gặp lỗi “không nhân được” vì không kiểm tra đúng điều kiện về số cột và số hàng.

  4. Không nhận ra ứng dụng thực tế
    → Học sinh thường nghĩ ma trận là “toán thuần túy” trong khi thực tế nó có mặt trong mọi lĩnh vực công nghệ.

 

5. Cách học hiệu quả

Hiểu thay vì học thuộc
Hãy nắm rõ tại sao ma trận nhân theo hàng – cột, thay vì chỉ làm máy móc.
→ Mẹo: Hình dung phép nhân ma trận giống như “tổ hợp các yếu tố đầu vào ảnh hưởng lên từng đầu ra”.

Luyện tập bằng Python / MATLAB / Excel
Làm bài tập trên giấy là tốt, nhưng nếu bạn định học STEM, bạn nên luyện các phép toán ma trận bằng công cụ số.

Liên kết với thực tế
Ví dụ:

  • Trong xử lý ảnh: Ảnh là một ma trận pixel.

  • Trong AI: Ma trận trọng số trong mạng nơ-ron.

  • Trong mô hình kinh tế: Hệ số ảnh hưởng giữa các biến.

Sử dụng visualizer
Dùng các công cụ như Matrix Multiplication Visualizer, Desmos, hoặc NumPy để mô phỏng thao tác.

 

6. Kết luận: 

Ma trận không chỉ là công cụ tính toán – nó là ngôn ngữ cấu trúc của mọi hệ thống dữ liệu trong thế giới hiện đại.
Từ lớp học đến phòng thí nghiệm, từ công ty AI đến ngân hàng đầu tư – mọi bài toán đa biến đều quy về ma trận.

Tại facingX, chúng tôi:

  • Dạy bạn ma trận từ gốc đến ngọn, từ tư duy toán học đến ứng dụng thực tiễn.

  • Hướng dẫn bằng phương pháp trực quan – gắn kết – dễ nhớ.

  • Kèm 1:1 với giảng viên từng giảng dạy Toán cao cấp tại Đức, Nhật, Úc, giúp bạn theo kịp chương trình dù học bằng tiếng Anh, Đức, hay Nhật.

Học chắc ma trận hôm nay – Đủ tự tin xử lý mọi hệ thống dữ liệu ngày mai.


Nền Tảng Kết Nối Giảng Dạy - Hồ Sơ Du Học
Ngoại ngữ, toán tư duy, lập trình, chuyên ngành năm nhất đại học
© 2025 facingX
Có thể bạn quan tâm