Trong tuần này, sinh viên sẽ học cách định nghĩa ma trận, thực hiện các phép toán cơ bản và hiểu ma trận như một "ngôn ngữ" mô tả các quá trình tuyến tính trong khoa học và kỹ thuật.

Tuần 2 – Ma trận: Cấu trúc của thế giới tuyến tính / Matrizen: Struktur der linearen Welt

I. GIỚI THIỆU | EINFÜHRUNG

VI – Tiếng Việt:

Ma trận là một công cụ quan trọng trong Đại số tuyến tính để biểu diễn hệ phương trình, ánh xạ tuyến tính và xử lý dữ liệu. Trong tuần này, sinh viên sẽ học cách định nghĩa ma trận, thực hiện các phép toán cơ bản và hiểu ma trận như một "ngôn ngữ" mô tả các quá trình tuyến tính trong khoa học và kỹ thuật.

 

DE – Tiếng Đức:

Matrizen sind ein zentrales Werkzeug der Linearen Algebra zur Darstellung von Gleichungssystemen, linearen Abbildungen und Datenverarbeitung. In dieser Woche lernen die Studierenden die Definition von Matrizen, grundlegende Rechenoperationen sowie die Interpretation von Matrizen als „Sprache“ linearer Prozesse in Wissenschaft und Technik.

 

II. KHÁI NIỆM | BEGRIFF

VI – Tiếng Việt:

Ma trận (Matrix) là một bảng chữ nhật gồm các phần tử (thường là số thực), được sắp xếp theo hàng và cột.

 

DE – Tiếng Đức:

Eine Matrix ist eine rechteckige Anordnung von Zahlen (meist reelle Zahlen), geordnet in Zeilen und Spalten.

 

III. Ý NGHĨA VÀ VAI TRÒ | BEDEUTUNG UND ROLLE

VI – Tiếng Việt:

  • Là công cụ biểu diễn hệ phương trình tuyến tính.

  • Là cách mô tả ánh xạ tuyến tính giữa các không gian vectơ.

  • Là nền tảng cho các ứng dụng trong học máy, xử lý ảnh, mô phỏng kỹ thuật.

 

DE – Tiếng Đức:

  • Dient zur Darstellung von linearen Gleichungssystemen.

  • Beschreibt lineare Abbildungen zwischen Vektorräumen.

  • Grundlage für Anwendungen in Machine Learning, Bildverarbeitung, Simulation.

 

IV. NHỮNG ĐIỂM CẦN CHÚ Ý | WAS ZU BEACHTEN IST

VI – Giảng viên nên lưu ý:

  • Dùng ví dụ trực quan: bảng Excel, hệ phương trình, hình học.

  • Giải thích rõ sự khác biệt giữa ma trận và vectơ.

  • Giới thiệu khái niệm phép toán như là các quy tắc vận hành “mạng lưới số”.

 

DE – Für Lehrende:

  • Verwenden Sie anschauliche Beispiele: Excel-Tabellen, LGS, Geometrie.

  • Klarer Unterschied zwischen Matrix und Vektor.

  • Einführung von Rechenregeln als „numerische Netzstruktur“.

 

VI – Sinh viên cần chú ý:

  • Không học thuộc công thức một cách máy móc.

  • Nắm được vai trò hàng/cột – tránh nhầm lẫn trong phép nhân.

  • Kiểm tra kỹ thứ tự kích thước ma trận khi thực hiện phép toán.

 

DE – Für Studierende:

  • Formeln nicht auswendig lernen – sondern verstehen.

  • Zeilen-/Spaltenrolle klar erkennen – Fehler beim Multiplizieren vermeiden.

  • Dimensionen der Matrizen stets kontrollieren.

 

V. KHÓ KHĂN & GIẢI PHÁP | SCHWIERIGKEITEN & STRATEGIEN

Đối tượng

VI – Khó khăn

DE – Schwierigkeit

Cách vượt qua

Giảng viên 

Sinh viên dễ nhầm hàng/cột

Verwechslung von Zeilen und Spalten 

Dùng màu/đánh dấu trực quan

Sinh viên

Nhớ công thức nhưng không hiểu bản chấ t

Formeln ohne Verständnis

Liên hệ với bài toán thực tế

Cả hai

Lúng túng khi nhân ma trận

Unsicherheit bei Matrixmultiplikation

Thực hành nhiều, giải thích bằng hình học 

 

VI. CÁC PHÉP TOÁN CƠ BẢN | GRUNDRECHENARTEN

VI – Tiếng Việt:

 

DE – Tiếng Đức:

 

 

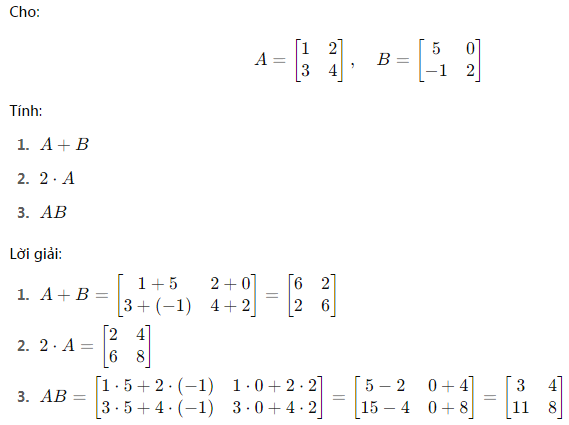
VII. VÍ DỤ CỤ THỂ & GIẢI THÍCH | KONKRETES BEISPIEL MIT ERKLÄRUNG

VI – Tiếng Việt:

 

DE – Tiếng Đức:

 

VIIILỜI KẾT | ABSCHLUSS

Ma trận là chiếc khung đầu tiên giúp chúng ta xây dựng nên toàn bộ thế giới của Đại số tuyến tính. Việc hiểu rõ định nghĩa và phép toán cơ bản không chỉ phục vụ cho môn học này, mà còn là bước khởi đầu để sinh viên chạm đến các khái niệm sâu hơn như không gian vectơ, ánh xạ tuyến tính và giải thuật trong Khoa học dữ liệu.

 

Tại facingX, chúng tôi không chỉ cung cấp nội dung học thuật rõ ràng, song ngữ, mà còn đồng hành cùng sinh viên Việt Nam trên hành trình du học tại Đức, EU, Nhật, Úc, Canada thông qua các dịch vụ tư vấn du học chuyên sâu, dạy ngoại ngữ chuẩn bị du học, và giảng dạy Toán tư duy bằng các chương trình kết nối giáo viên – học viên toàn cầu.

 

Với facingX, sinh viên năm nhất không còn đơn độc ở nước ngoài – mà luôn có một người bạn học thuật đồng hành ngay trong tầm tay.

 

 


Nền Tảng Kết Nối Giảng Dạy - Hồ Sơ Du Học
Ngoại ngữ, toán tư duy, lập trình, chuyên ngành năm nhất đại học
© 2025 facingX
Có thể bạn quan tâm